Ответы
Все эти уравнения - биквадратные, то есть, такие, которое сводятся к квадратным с помощью замены x^2=t.
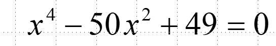
1. x^4-50x^2+49=0
Замена x^2=t, t>=0
t^2-50t+49=0
D=2500-4*49=2304=48^2
t = (50+48)/2 = 49
t = (50-48)/2 = 1
x^2=49
x^2=1
x = +-7
x = +-1
2. x^4-5x^2-36=0
Замена x^2=t, t>=0
t^2-5t-36=0
D=25-4*(-36)=169=13^2
t=(5+13)/2 = 8
t=(5-13)/2=-4<0 - не удовлетворяет ОДЗ
x^2=8
х = +-2√2
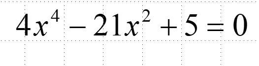
3. 4х^4-21х^2+5=0
Замена x^2=t, t>=0
4t^2-21t+5=0
D=441-4*4*5=361=19^2
t = (21+19)/8=5
t = (21-19)/8=1/4
x^2 = 5
x^2 = 1/4
x = +-√5
x = +-1/2
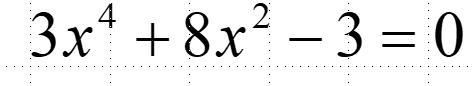
4. 3x^4+8x^2-3=0
Замена x^2=t, t>=0
3t^2+8t-3=0
D=64-4*3*(-3)=100=10^2
t=(-8+10)/6=1/3
t=(-8-10)/6=-3<0 - не удовлетворяет ОДЗ
x^2=1/3
x = +-1/√3 = +-√3/3
5. x^4-82x^2+81=0
Замена x^2=t, t>=0
t^2-82t+81=0
По теореме Виета:
t=81
t=1
x^2=81
x^2=1
x=+-9
x=+-1
Решение во вложениях...

