• Предмет: Алгебра
  • Автор: Уася1337
  • Вопрос задан 2 года назад

помогите решить уравнение, алгебра 8 класс, 20 баллов

Приложения:

Ответы

Ответ дал: alexey230605
0

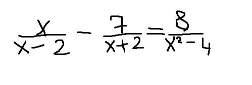
x/(x-2)-7/(x+2)=8/(x^2-4)

(x^2+2x-7x+14)/(x^2-4)=8/(x^2-4)

(x^2-5x+6)/(x^2-4)=0

x^2-5x+6=0, x\neq 2 и x\neq -2

x=2, x=3, x\neq 2, x\neq -2\\

x=3

Вас заинтересует