• Предмет: Математика
  • Автор: zhaukina2007
  • Вопрос задан 2 года назад

Даю 20баллов!!!
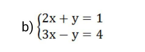
решить методом подстановки следующую систему уравнений ​

Приложения:

Ответы

Ответ дал: aabzaliev88
1

Ответ:

x=1 y=-1

Пошаговое объяснение:

y сокрашяется

5x=5

x=1

2+y=1

y=-1


zhaukina2007: спасибо!
Ответ дал: andreizaharov1
1

y=1-2x

3x-y=4

1)(подставим первое уравнение во второе)

3x-(1-2x)=4

3x-1+2x=4

3x+2x=4+1

5x=5

x=1

2)Подставим 1 в первое уравнение

y=1-2*1

y=-1


zhaukina2007: спасибо огромное, не знаете как отметить как лучший комментарий?
zhaukina2007: ответ*
Вас заинтересует