• Предмет: Алгебра
  • Автор: dicaw30483
  • Вопрос задан 2 года назад

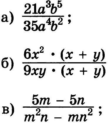
Помогите пожалуйста решить

Сократите дробь​

Приложения:

Ответы

Ответ дал: goryachaya04
1
a)3b^3/5a^1
б)2x/3y
в)5/m^2n^2

goryachaya04: 5/mn это в), там ошибка!!!
Вас заинтересует