• Предмет: Алгебра
  • Автор: ratbaevaa
  • Вопрос задан 8 лет назад

помогите пожалуйста решить задачу по алгебре

Приложения:

Ответы

Ответ дал: arisha568578
0

Ответ:

.........................

Приложения:
Ответ дал: zhansayazhanabaeva00
0

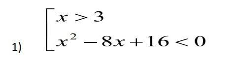
Ответ:|x>3. = x>3

|(x-4)^2 утверждение ложно для любовного значения x

То есть x>3

Объяснение:

Приложения:
Вас заинтересует