• Предмет: Математика
  • Автор: lepisdarina2008
  • Вопрос задан 8 лет назад

1414.
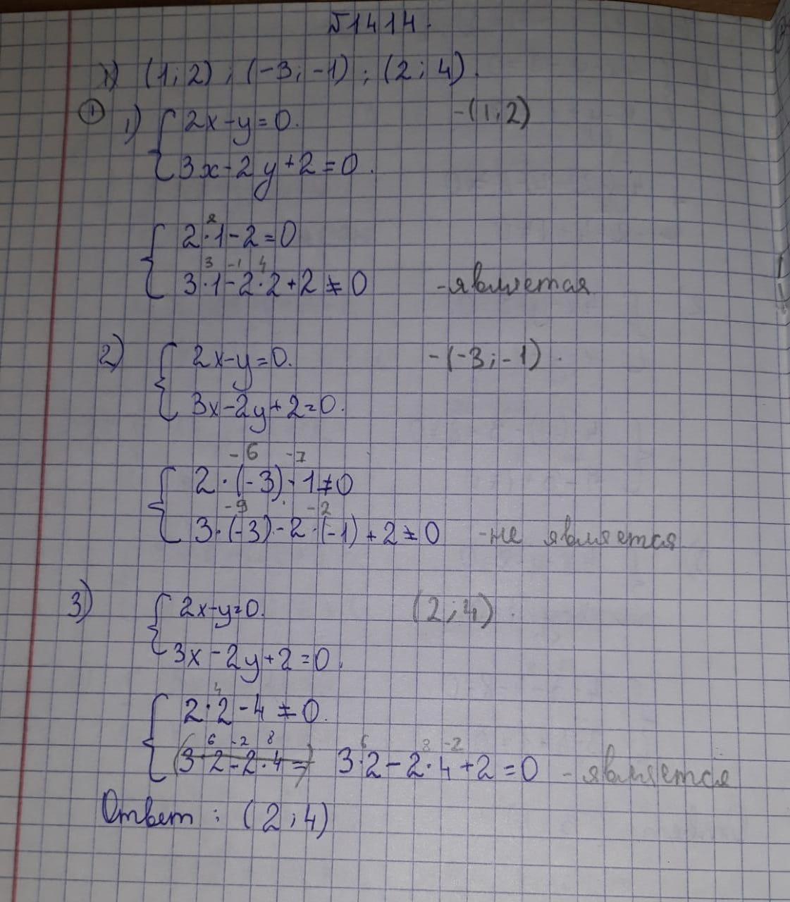
Какие из пар чисел (1; 2); (-3; -1); (2; 4) являются решениями
системы:
1) 2х – у = 0,
3x -2y+2 = 0;

2) 2x + y - 4 = 0,
5х – 2y +1 = 0?
пожалуйста помогите
20 баллов!!

Ответы

Ответ дал: pokivlad
0

Ответ:

1)

2x - y = 0 \ y = 2x

Подставляем это значение на место Y

3x - 2 times (2x) + 2 = 0 \ 3x - 4x + 2 = 0 \  - x =  - 2 \ x = 2

Если X равен 2 то подходит только пара чисел (2:4)

2)

2x + y - 4 = 0 \ y = 4 - 2x

Подставляем данное значение на место Y

5x - 2 times (4 - 2x) + 1 = 0 \ 5x - 8 + 4x + 1 = 0 \ 9x = 7 \ x =  frac{7}{9}

Ни одно из приведенных пар чисел не являются решениями системы

Ответ дал: autovak
0

Ответ:

Пошаговое объяснение:

Приложения:
Вас заинтересует