Помогите народ срочно!!! :((
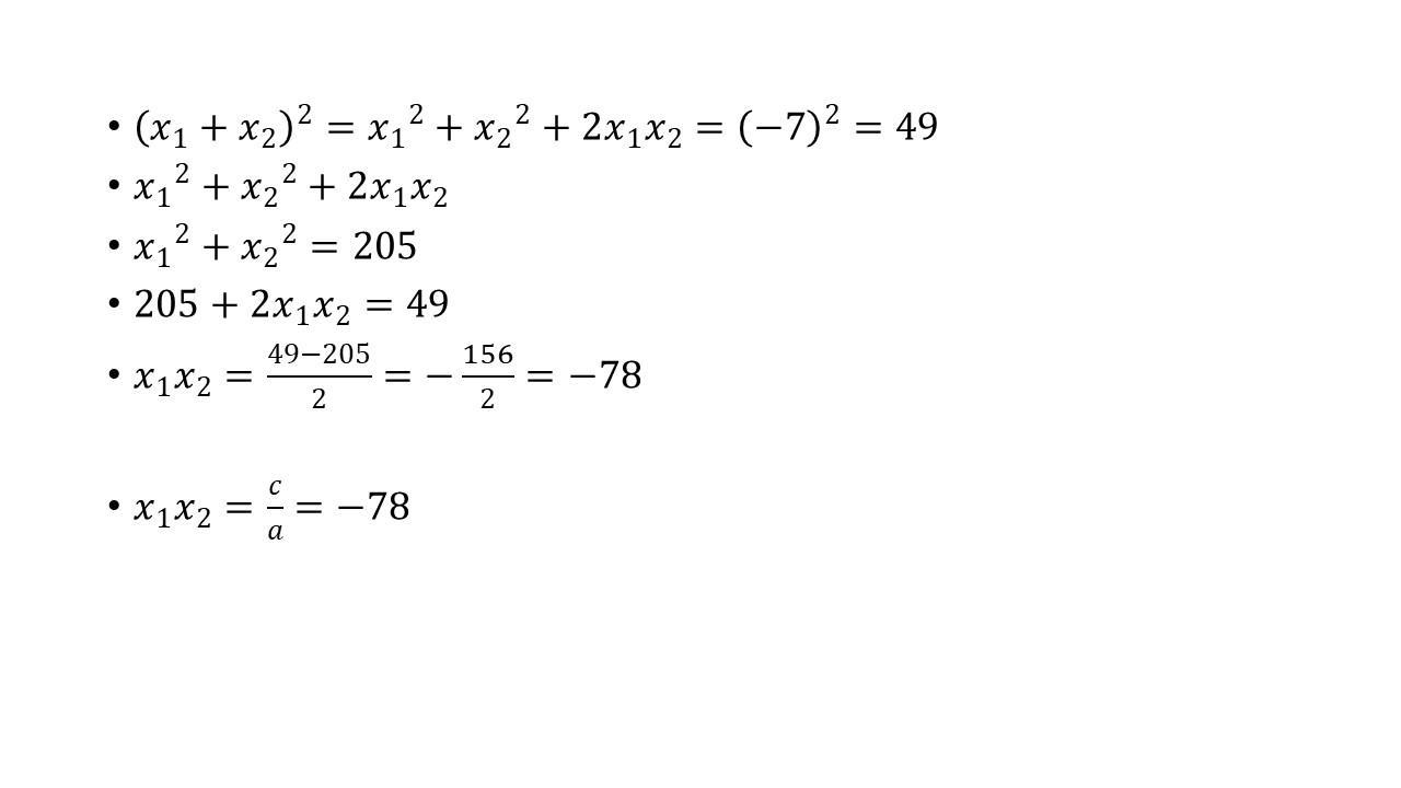
Найдите значение а, при котором сумма квадратов корней уравнения x2+7x+a=0 равна 205
Ответы
Ответ дал:
0
Ответ:
-78
Пошаговое объяснение:
+7x+a=0
х1+х2=-7
a= x1 × x2
Приложения:

Ответ дал:
0
пожалуйста
Вас заинтересует
2 года назад
2 года назад
3 года назад
3 года назад
8 лет назад
9 лет назад