• Предмет: Алгебра
  • Автор: demon1141
  • Вопрос задан 8 лет назад

ПОМОГИТЕ ПОЖАЛУЙСТА

Приложения:

Ответы

Ответ дал: Universalka
0

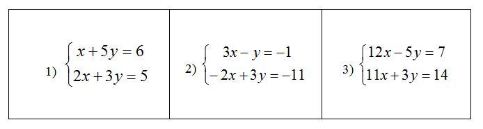
left { {{x+5y=6} atop {2x+3y=5}} right.\\left { {{x=6-5y} atop {2*(6-5y)+3y=5}} right. \\left { {{x=6-5y} atop {12-10y+3y=5}} right.\\left { {{x=6-5y} atop {-7y=-7}} right.\\left { {{y=1} atop {x=6-5*1}} right.\\left { {{y=1} atop {x=1}} right.\\Otvet:boxed{(1;1)}

left { {{3x-y=-1}|*3 atop {-2x+3y=-11}} right.\\+left { {{9x-3y=-3} atop {-2x+3y=-11}} right.\--------\ 7x=-14\\x=-2\\y=3x+1=3*(-2)+1=-6+1=-5\\y=-5\\Otvet:boxed{(-2;-5)}

left { {{12x-5y=7}|*3 atop {11x+3y=14}|*5} right.\\+left { {{36x-15y=21} atop {55x+15y=70}} right.\ -------\91x=91\\x=1\\3y=14-11x=14-11*1=14-11=3\\y=1\\Otvet:boxed{(1;1)}

Вас заинтересует