• Предмет: Алгебра
  • Автор: dadadap
  • Вопрос задан 8 лет назад

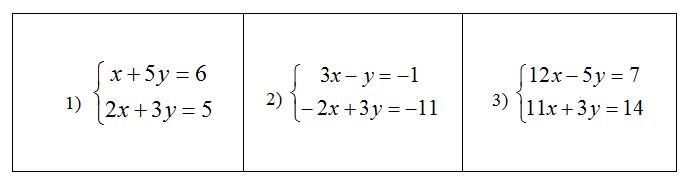
помогите пожалуйста решить контрольную работу до 12:00

Приложения:

Ответа на этот вопрос пока нет. Попробуйте найти его через форму поиска.

Вас заинтересует