1) разложить на множители квадратные трехчлены.
2) сократить дробь
Помогите. Если можно с объяснением.
Приложения:

Ответы
Ответ дал:
0
Ответ:
65347+2х-jv574774&&7567
Ответ дал:
0
ТЕОРИЯ
Разложение многочлена на множители – тождественное преобразование, превращающее сумму в произведение нескольких множителей. При этом каждый множитель может быть как многочленом, так и одночленом.
_____________________________________
Способы
1)Вынесение общего множителя за скобки
ac+bc=c(a+b)ac+bc=c(a+b)
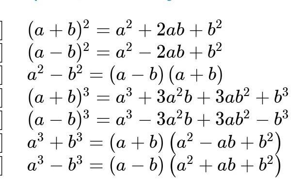
2)Использование формул сокращенного умножения
Скрин 3
3)Разложение квадратного трехчлена на множители.
Скрин 4
Приложения:




Вас заинтересует
2 года назад
3 года назад
3 года назад
8 лет назад
8 лет назад
9 лет назад