• Предмет: Алгебра
  • Автор: bodrovakarina10
  • Вопрос задан 2 года назад

Помогите срочно!!!
Дам 30 баллов за самый быстрый ответ!!!​

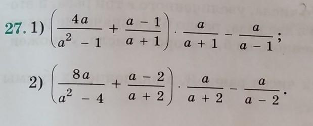
Приложения:

Ответы

Ответ дал: DANIEL272004
0

Ответ:

1)0

2)0

Объяснение:


bodrovakarina10: А решение?
Вас заинтересует