• Предмет: Алгебра
  • Автор: DSAO2020
  • Вопрос задан 2 года назад

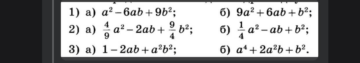
Представьте виде двучлена

Приложения:

Ответы

Ответ дал: vlasehko300
1

Відповідь: 1) а)=(а-3b)^2.   б)=(3a+b)^2.   2) а)=(2/3а-3/2b)^2.   б)= (1/2a-b)^2. 3) a)=(1-ab)^2.    б)= (a+b)^2

Вас заинтересует