• Предмет: Математика
  • Автор: usercomfy07112017
  • Вопрос задан 2 года назад

поможете разобраться??))​

Приложения:

Ответы

Ответ дал: Аноним
0

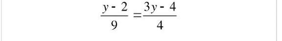
Ответ:

4(y-2) = 9(3y-4)

4y-8 = 27y-36

23y=28

y=28/23

Пошаговое объяснение:


usercomfy07112017: спасибо
usercomfy07112017: надеюсь правильно
Ответ дал: lisichka59rus
0

Ответ:

4(у-2)=9(3у-4)

4у-8=27у-36

23у=28

у=28/23

Вас заинтересует