• Предмет: Алгебра
  • Автор: laldushki
  • Вопрос задан 2 года назад

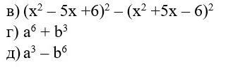
Розкладіть на множники многочлен

Приложения:

Ответы

Ответ дал: 0Mystery0
1

Ответ:

Объяснение:

в)x⁴-25x²+36-x⁴-25x²+36= -50x²+72

г)(a³+b)³

д)(a-b³)³

Вас заинтересует