• Предмет: Математика
  • Автор: andreeva9283737
  • Вопрос задан 2 года назад

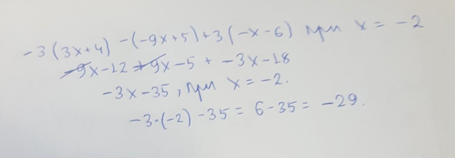
упрости выражение и найди его значение
-3(3х+4)-(-9х+5)+3(-х-6)
при х= - 2​

Ответы

Ответ дал: vityamath
0

Ответ:

-29

Пошаговое объяснение:

Подробное решение на листочке.

Приложения:
Вас заинтересует