• Предмет: Алгебра
  • Автор: danis30072005
  • Вопрос задан 2 года назад

Срочно!!!!!!! Очень легко!!!!!​

Приложения:

Ответы

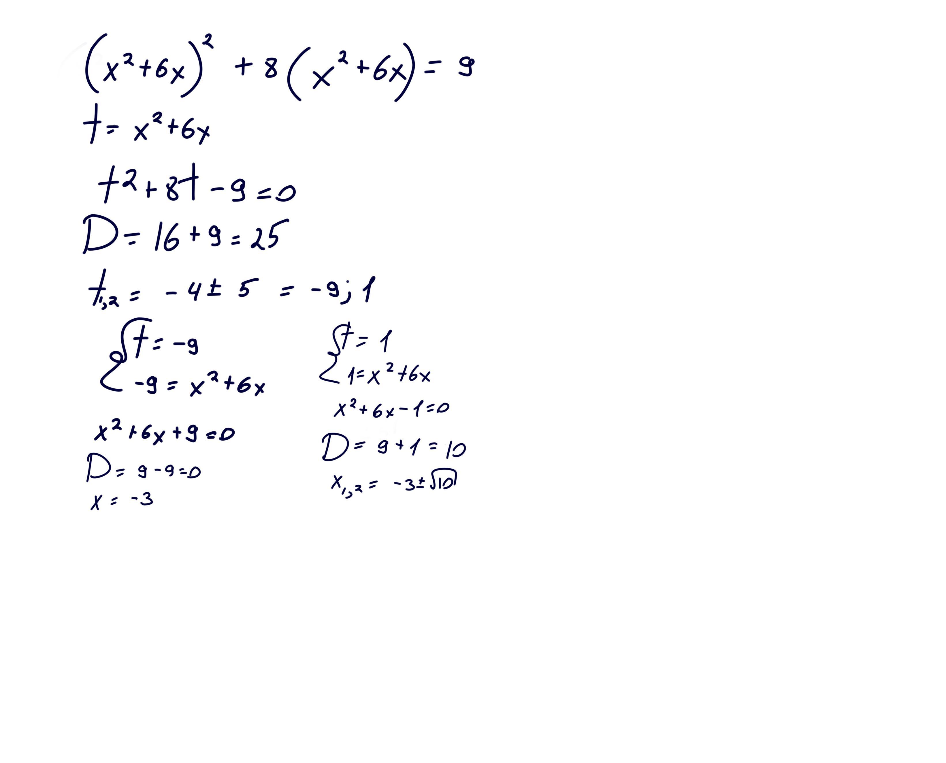
Ответ дал: PrЯnicheg
0

Решение ниже на листочке...

Приложения:

pomogite1057: Здравствуйте можете мне помочь с математикой прошу вас помогите мне пожалуйста
Ответ дал: sav1nav1k
0

Тут все написано,отметь решение как лучшее, пожалуйста

Приложения:
Вас заинтересует