• Предмет: Математика
  • Автор: filevartom
  • Вопрос задан 2 года назад

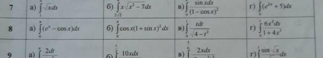
помогите пожалуйста с математикой. 8 все примеры пошаговое решение. 22 тоже самое.​

Приложения:

Ответы

Ответ дал: strongerok
1

Ответ:

Пошаговое объяснение:

а) разделил на 2 интеграла по разности, под первым e^(pi) - константа, поэтому получится e^(pi) * x = pi* e^(pi) - 0 ( при подстановке)

второй - табличный = sinx + C = 0 в подстановке.

Ответ: pi* e^(pi)

б) занесу cosx под дифференциал

cosxdx = d ( sinx + 1)

дальше простой степенной интеграл = 1/3*(1+sinx)^3 + C = 1/3 * (1)^3 - 1/3 * (1)^3 = 0

в) опять под дифференциал

d(4-t^2) = -2*t dt => tdt = -1/2 * d(4-t^2)

дальше простой степенной интеграл = -1/2*2*(4-t)^(1/2) + C = -3^(1/2) + 4^(1/2) = 2 - \sqrt{3}

г) под дифференциал:

d(1 + 4x^3) = 12x^2 dx => 6x^2dx = 1/2 d(1+4x^3)

дальше табличный интеграл = 1/2 * ln(1+4x^3) + C = 1/2*ln5 - 1/2*ln1 = 1/2*ln5

Вас заинтересует