• Предмет: Алгебра
  • Автор: Аноним
  • Вопрос задан 2 года назад

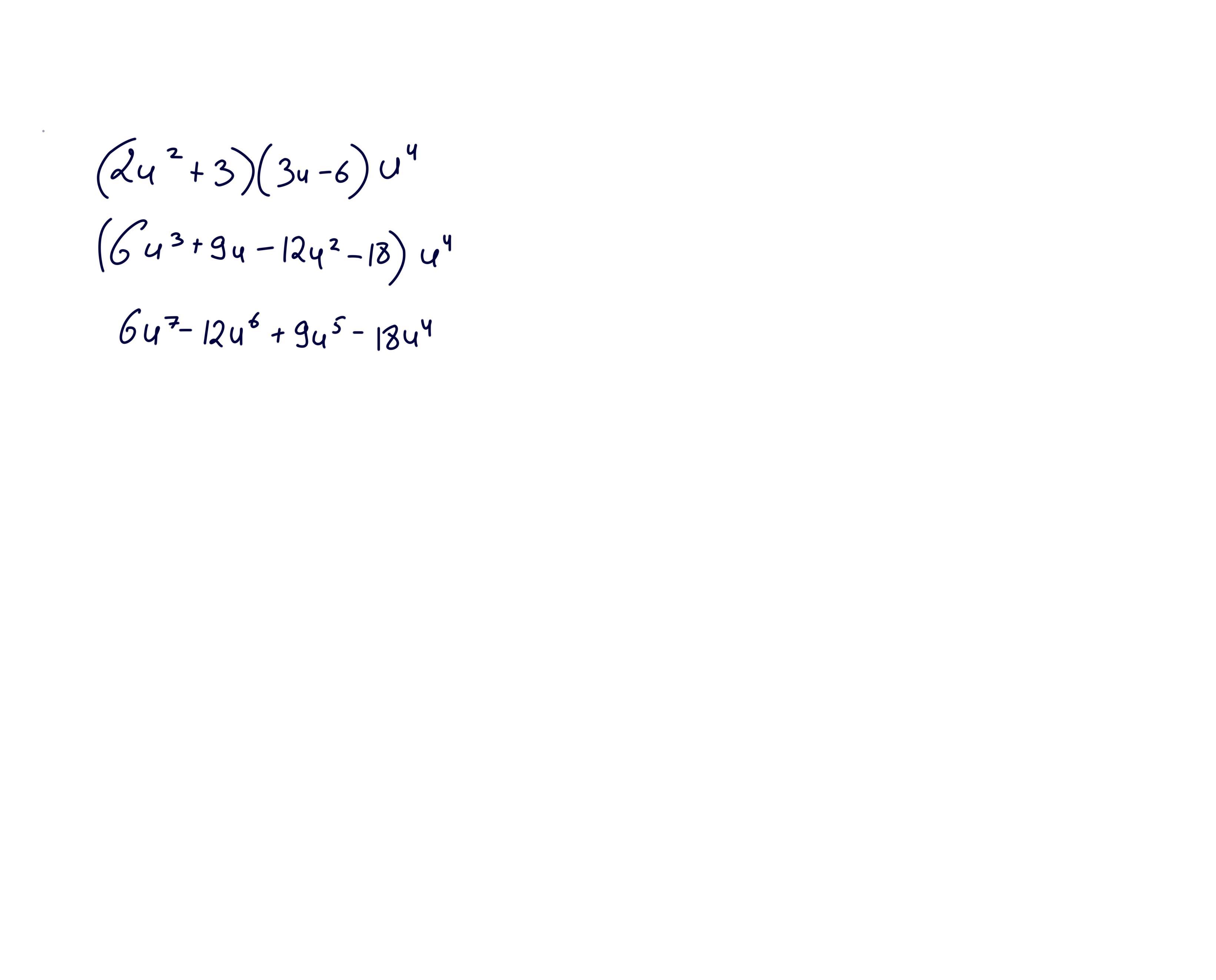
пжж помогите прошу через 15 минут сдавать

Приложения:

Ответы

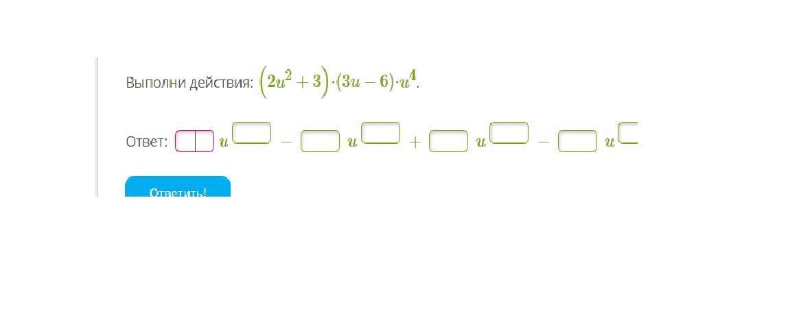
Ответ дал: sav1nav1k
1

Тут все написано, отметь как лучшее, пожалуйста

Приложения:

Аноним: помоги мне еще с одним задание в профиле
Вас заинтересует