• Предмет: Алгебра
  • Автор: nastikbog
  • Вопрос задан 11 лет назад

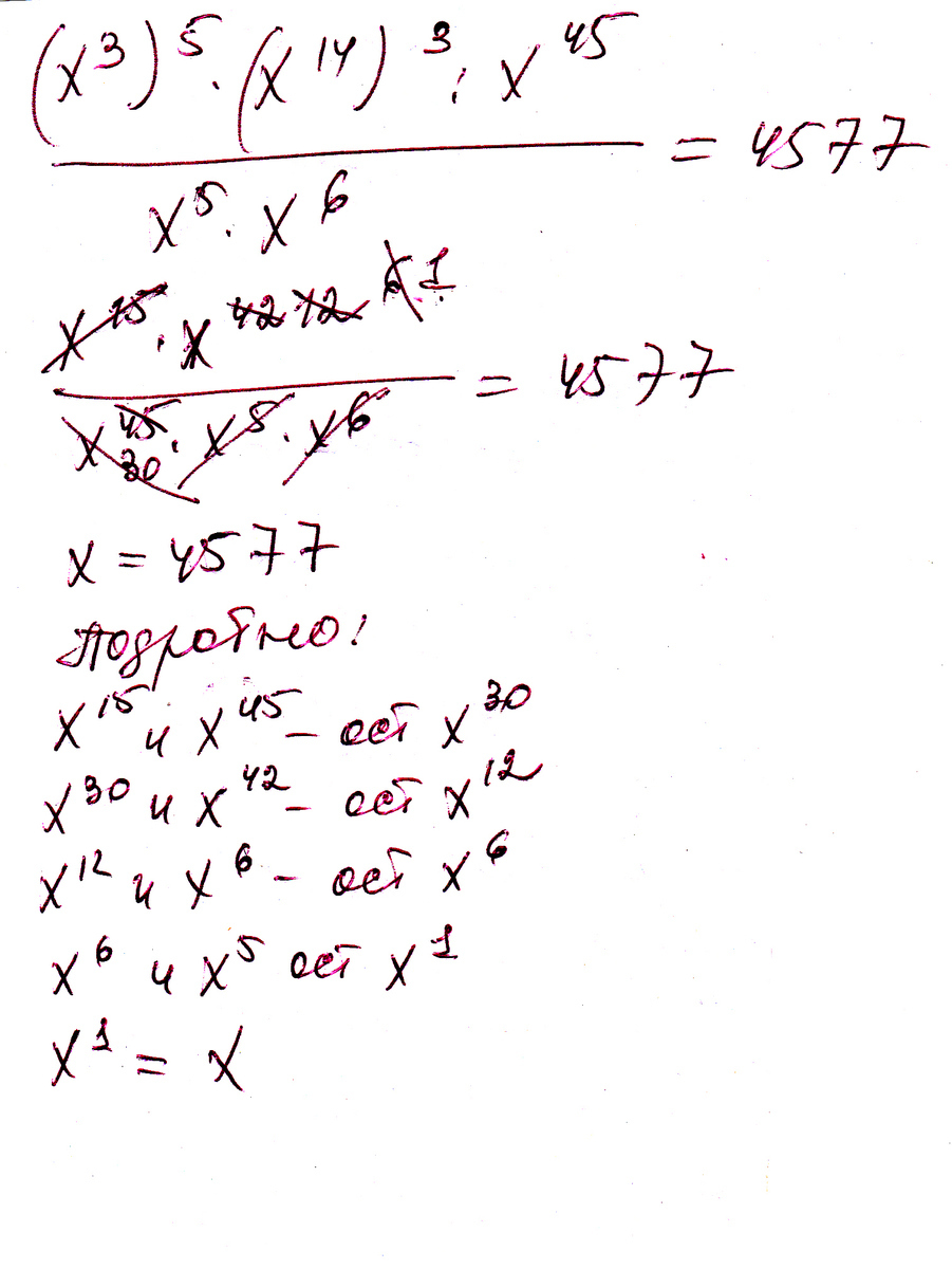
Решите уравнение со степенями.

( x^{3} ) ^{5} * ( x^{14} ) ^{3} :  x^{45} =4577
_________________________________________
 x^{5} * x^{6}
____-это черта дроби

Ответы

Ответ дал: cheshzhanna
0
Ответ на листочке с решением
Приложения:
Вас заинтересует