• Предмет: Алгебра
  • Автор: daniilshalaginov
  • Вопрос задан 2 года назад

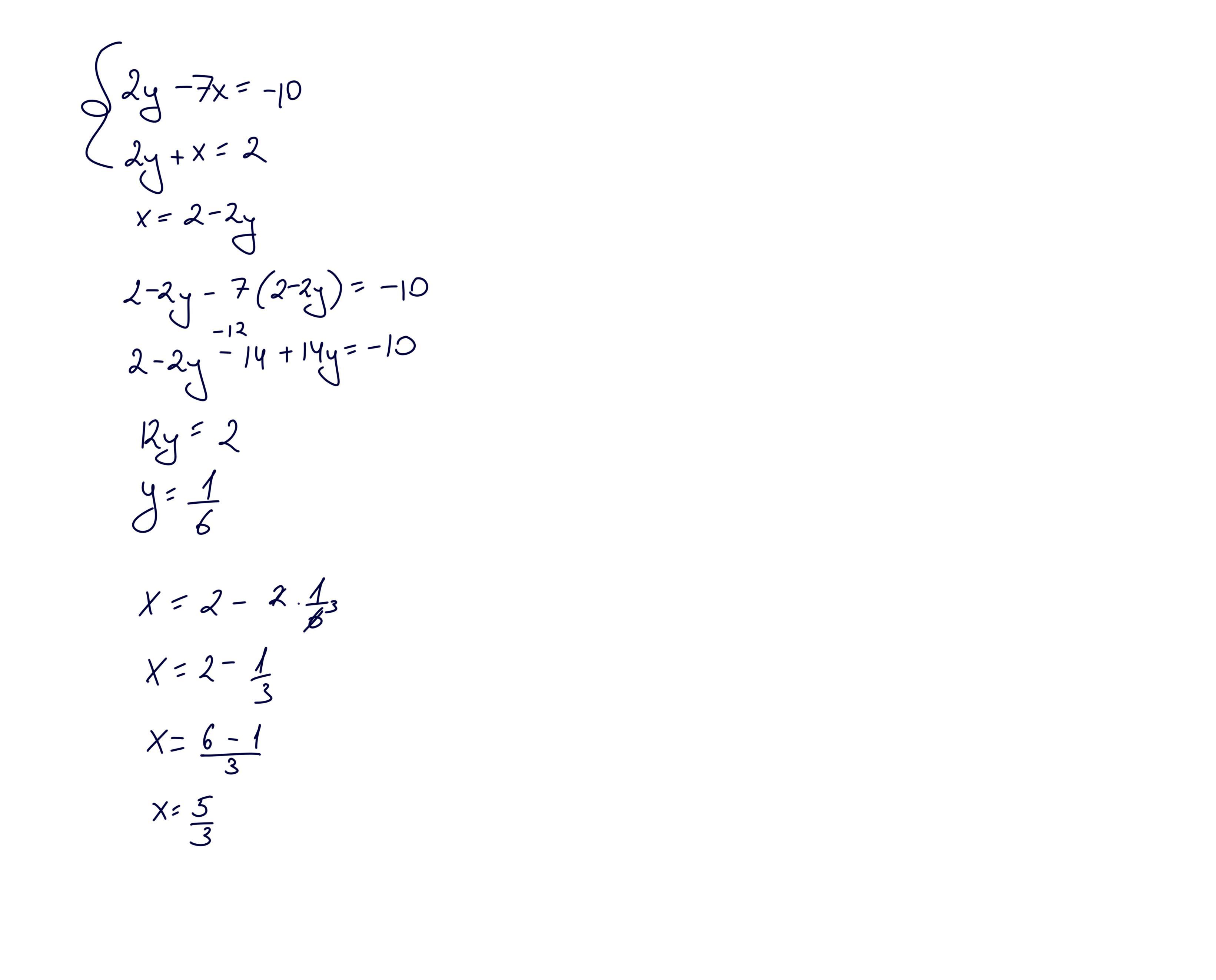
{2y−7x=−10
2y+x=2
Cистему решить помогите


Ответы

Ответ дал: sav1nav1k
2

Тут все написано, отметь как лучшее решение

Приложения:
Ответ дал: vikalife872
2
{2y-7x=-10
{14y+7x=14
16y=4
y=1/4 x=3/2
Вас заинтересует