• Предмет: Геометрия
  • Автор: vadik136
  • Вопрос задан 2 года назад

решите пожалуйста,легкая задачка даю 20 баллов

Приложения:

Ответы

Ответ дал: gustovvova96
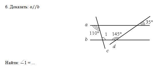
1

Ответ:

Угол1= 110

Объяснение:

Так как они внутренние накрест лежащие с углом в 110 градусов

Вас заинтересует