1. Стороны трекгольника равны 10 см, 12 см и 14 см. Найти периметр треугольника, вершины которого - середины сторон данного треугольника.
2. В равнобедренной трапеции АBCD высота BK делит основание AD на отрезки AK=4 см и KD=10 см. Найти основание BC трапеции.
3. Диагональ равнобедренной трапеции образует с основанием угол 54°, а ее боковая сторона равна большему основанию. Найти углы трапеции.
4. В трапеции ABCD средняя линия EF перевекает диагональ AC в точке K. Разность отрезков KF и KE равна 3 см. Найти основание трапеции, если их сумма равна 18 см.
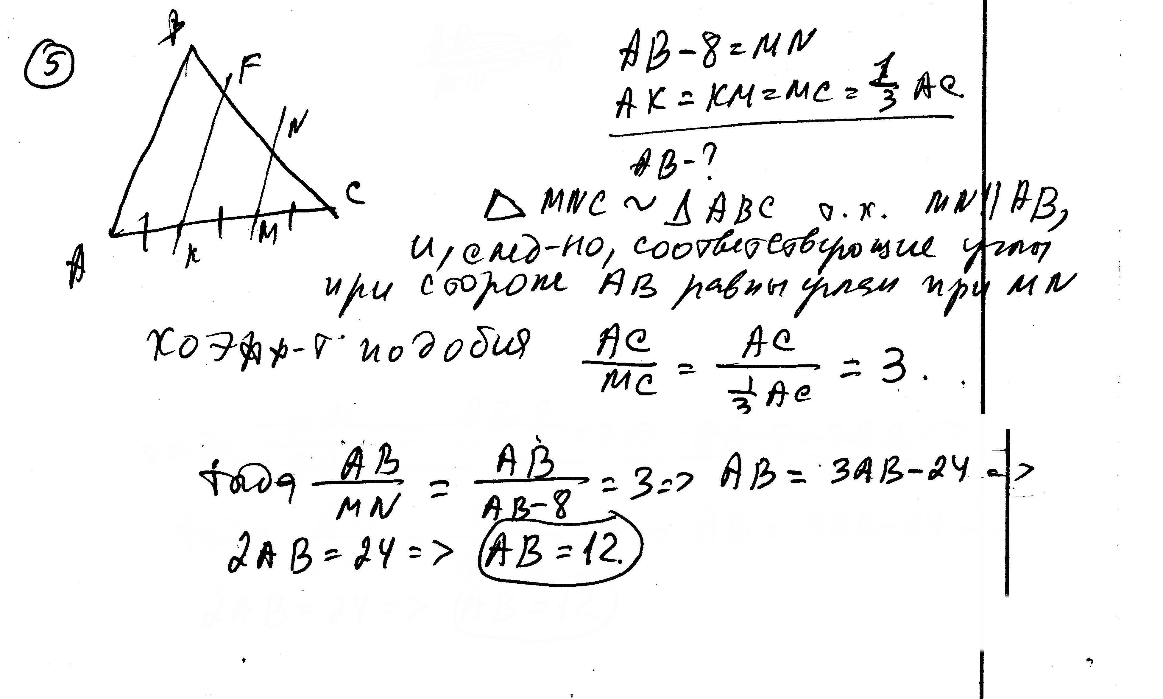
5. В треугольнике ABCD сторона AC разделена на три равных отрезка и через точки деления проведены прямые, параллельные стороне AB треугольника. Меньший из отрезков этих прямых, расположенных между сторонами треугольника, меньше стороны AB на 8 см. Найти сторону AB треугольника.
Ответы

