• Предмет: Математика
  • Автор: schirbuli
  • Вопрос задан 2 года назад

Помогите пж!!
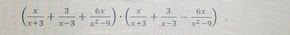
доведіть, що значення данного виразу не залежить від змінної x:​

Приложения:

Ответы

Ответ дал: digimbaevaayazhan
1

Ответ:

(\frac{x}{x+3} +\frac{3}{x-3} +\frac{6x}{x^{2}-9 } ) *(\frac{x}{x+3} +\frac{3}{x-3} -\frac{6x}{x^{2}-9 })= \\\frac{x*(x-3)+3(x+3)+6x}{(x-3)(x+3)}*\frac{x*(x-3)+3(x+3)-6x}{(x-3)(x+3)} = \\\frac{x^{2} -3x+3x+9+6x}{(x-3)(x+3)} *\frac{x^{2} -3x+3x+9-6x}{(x-3)(x+3)}= \\\frac{x^{2} +6x+9}{(x-3)(x+3)} *\frac{x^{2} -6x+9}{(x-3)(x+3)} =\\\frac{(x+3x )^{2} }{(x-3)(x+3)} *\frac{(x-3x )^{2} }{(x-3)(x+3)}=\\\frac{x+3}{x-3} *\frac{x-3}{x+3} =\\\frac{1}{x-3}*(x-3)=1

Пошаговое объяснение:

Вас заинтересует