Помогите решить эта уравнение СРОЧНО ДАЮ 15!!!
Приложения:

v4023420:
2 примера
Ответы
Ответ дал:
2
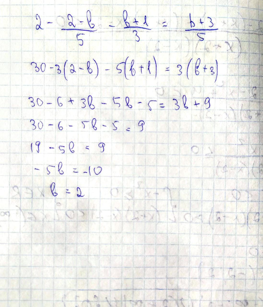
знаю я плохо пишу
........................
Приложения:

Ответ дал:
1
(домножаем обе части равенства на 15)
Вас заинтересует
1 год назад
1 год назад
1 год назад
3 года назад
3 года назад