• Предмет: Алгебра
  • Автор: olesakomissarova5
  • Вопрос задан 2 года назад

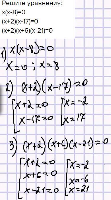
Решите уравнения:
х(х-8)=0
(х+2)(х-17)=0
(х+2)(х+6)(х-21)=0

Ответы

Ответ дал: Annushka2408
1
Вот решение: Объяснение:
Приложения:

Annushka2408: Х1=-6 Х2=-2 Х3=21
Ответ дал: Аноним
1

Ответ:

1) x_{1} =0\\x_{2} =8

2)x_{1} =-2\\x_{2}=17

3)x_{1}=-2; x_{2}=-6; x_{3}=21

Объяснение:

Приложения:
Вас заинтересует