• Предмет: Математика
  • Автор: arina040506
  • Вопрос задан 2 года назад

ПОМОГИТЕ ПОЖАЛУЙСТА!!!! СРОЧНО!!!!
ЗАДАНИЕ:
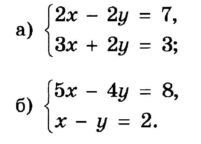
Решите систему уравнений методом алгебраического сложения
2 системы уравнения (которые надо решить по заданию) находятся в файле!!!

Приложения:

arina040506: Это моя самостоятельная работа! Решите системы уравнений правильно, пожалуйста!

Ответы

Ответ дал: Аноним
1

Ответ:

а)х=2

у=-1.5

б)х=0

у=-2

Пошаговое объяснение:

а)5х=10

х=2

2у=3-3х

2у=3-6

у=-3/2

у=-1.5

б)6х-5у=10

х=у+2

6у+12-5у=10

у=-2

х=0


arina040506: Спасибо, очень помогли!)
arina040506: Я не поняла полноценное объяснение под буквой Б, можете объяснить, пожалуйста!
Аноним: Сначала добавляем уравнения и получается 6х-5у=10
Аноним: После уже метод подставки в помощь
Аноним: х-у=2 как раз отлично подходит
Аноним: Из этого уравнения делаем либо х=2+у, либо у=х-2
Аноним: И подставляем х или у в уравнение 6х-5у=10
Аноним: И решаем
arina040506: Спасибо!
Ответ дал: vovancebotar23
1

Пошаговое объяснение:

а)х=2

у=-1.5

б)х=0

у=-2


arina040506: Спасибо!)
Вас заинтересует