ПОМОГИТЕ ПОЖАЛУЙСТА!!!! СРОЧНО!!!!
ЗАДАНИЕ:
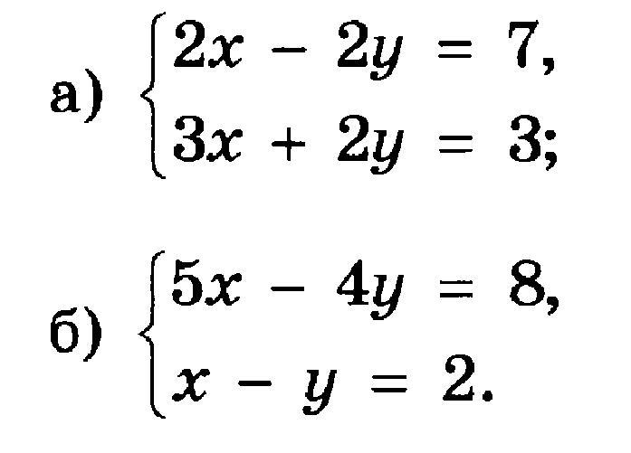
Решите систему уравнений методом алгебраического сложения!
Решите пожалуйста под буквой Б) Он находится на рисунке!!!
                        
                                    Приложения:
                     
                            Ответы
                                            Ответ дал: 
                                                                                    
                                        
                                            
                                                
                                                
                                                
                                                    1
                                                
                                            
                                        
                                    Ответ:
х=0 у=-2
Пошаговое объяснение:
...................
Приложения:
                     
                            
                    arina040506:
                    можно объяснение, как вы получили х, пожалуйста!
                
            
                    
                    в нижней строке все числа умножил на 4, затем сложил все числа нижней и верхней строки: 5х+(-4х)=х; 4у+(-4у)=0; 8+(-8)=0. получилось х+0=0, или х=0
                
            
                    
                    Спасибо!
                
            
                                            Ответ дал: 
                                                                                            
                                                    
                                                
                                                                                    
                                        
                                            
                                                
                                                
                                                
                                                    1
                                                
                                            
                                        
                                    
                                        Решение на фото внизу 
                                    
                                                Приложения:
                     
                            Вас заинтересует
                
                        1 год назад
                    
                
                        1 год назад
                    
                
                        1 год назад
                    
                
                        1 год назад
                    
                
                        3 года назад
                    
                
                        3 года назад
                    
                
                        8 лет назад