• Предмет: Математика
  • Автор: crybaby79
  • Вопрос задан 2 года назад

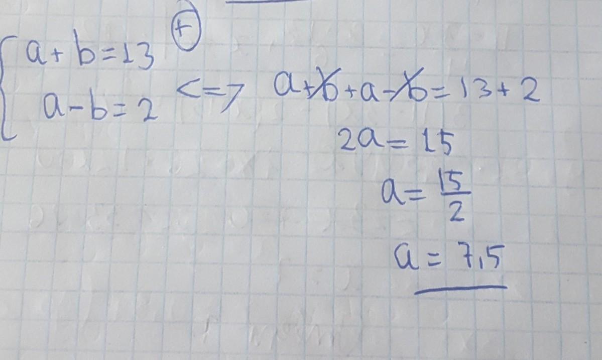
Найди значение переменной a,
если дана система: {a+b=13a−b=2

a=? ​

Ответы

Ответ дал: vityamath
0

Пошаговое объяснение:

Решение уравнения на фотографии

Приложения:
Вас заинтересует