• Предмет: Алгебра
  • Автор: Milana582
  • Вопрос задан 2 года назад

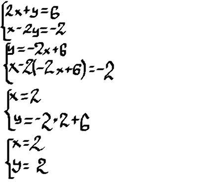
Решите способом подстановки: {2х+у=6 х-2у= -2

Ответы

Ответ дал: ViktoriaPobloki
0

Решение во вложении:...............

Приложения:
Вас заинтересует