• Предмет: Алгебра
  • Автор: Аноним
  • Вопрос задан 11 лет назад

помогите молю!!!!!!!!!!!!!!!!!!!!!!!!!!

Приложения:

Ответы

Ответ дал: Artem112
0
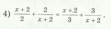
 frac{x+2}{2} + frac{2}{x+2} = frac{x+2}{3} + frac{3}{x+2} 
\
 frac{(x+2)^2+4}{2(x+2)}  = frac{(x+2)^2+9}{3(x+2)}
\
 frac{x^2+4x+4+4}{2}  = frac{x^2+4x+4+9}{3}
\
3x^2+12x+24 =2x^2+8x+26
\
x^2+4x-2=0
\
D_1=4+2=6
\
x=-2pm sqrt{6}
Вас заинтересует