• Предмет: Математика
  • Автор: potolok43kirov2018
  • Вопрос задан 2 года назад

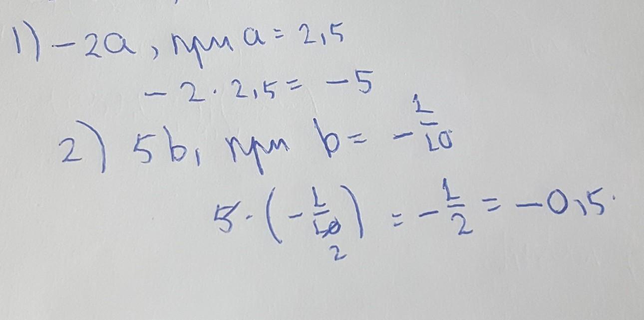
-2а если а =2,5 вычислить

5*b если b=-одна десятая

Ответы

Ответ дал: vityamath
0

Решение на фотографии.

Приложения:
Вас заинтересует