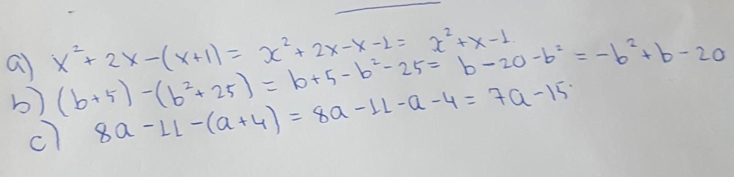
Упростите выражения.
а)х²+2х-(х+1)
b) (b+5)-(b²+25)
g) 8a-11-(a+4)
Даю 25 баллов.
решите подробнее пожалуйста
Ответы
Ответ дал:
0
Решение на листочке!!
Приложения:
Вас заинтересует
2 года назад
2 года назад
2 года назад
2 года назад
3 года назад
9 лет назад
9 лет назад