Ответы
Ответ дал:
3
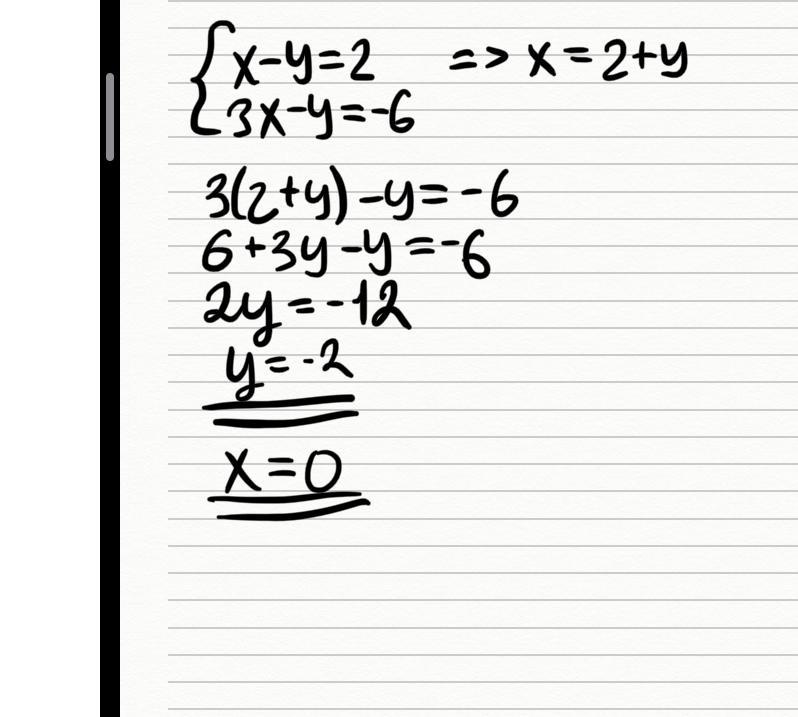
Привет, решение во вложении. Пожалуйста, не забудь потом отметить мой ответ как лучший:)
Приложения:

Illjakapitan:
спасибо
Вас заинтересует
1 год назад
1 год назад
8 лет назад