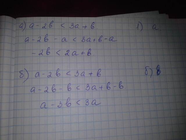
Помогите с упражнением ! Задание -Записать неравенство , которое получится, если из обеих частей неравенства a-2b<3a+b вычесть число : 1) a 2) b !!!!!!!!!!!!!!!!тема 8 класса !
Ответы
Ответ дал:
0
a-2b<3a+b
a-2b-1<3a+b-1
a-2b-b<3a+b-b
a-3b<3a
a-2b-1<3a+b-1
a-2b-b<3a+b-b
a-3b<3a
Ответ дал:
0
Ответ на листе смотри фото
Приложения:

Вас заинтересует
2 года назад
2 года назад
8 лет назад
8 лет назад
10 лет назад
10 лет назад
10 лет назад