• Предмет: Алгебра
  • Автор: Аноним
  • Вопрос задан 2 года назад

Помогите пожалуйсто ​

Приложения:

Ответы

Ответ дал: DinaTae04
0

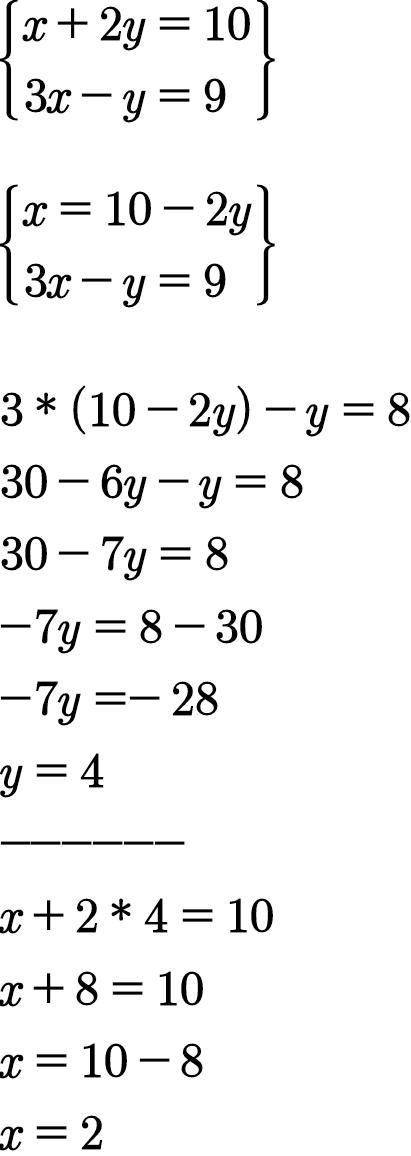
Ответ во вложении....

Приложения:
Вас заинтересует