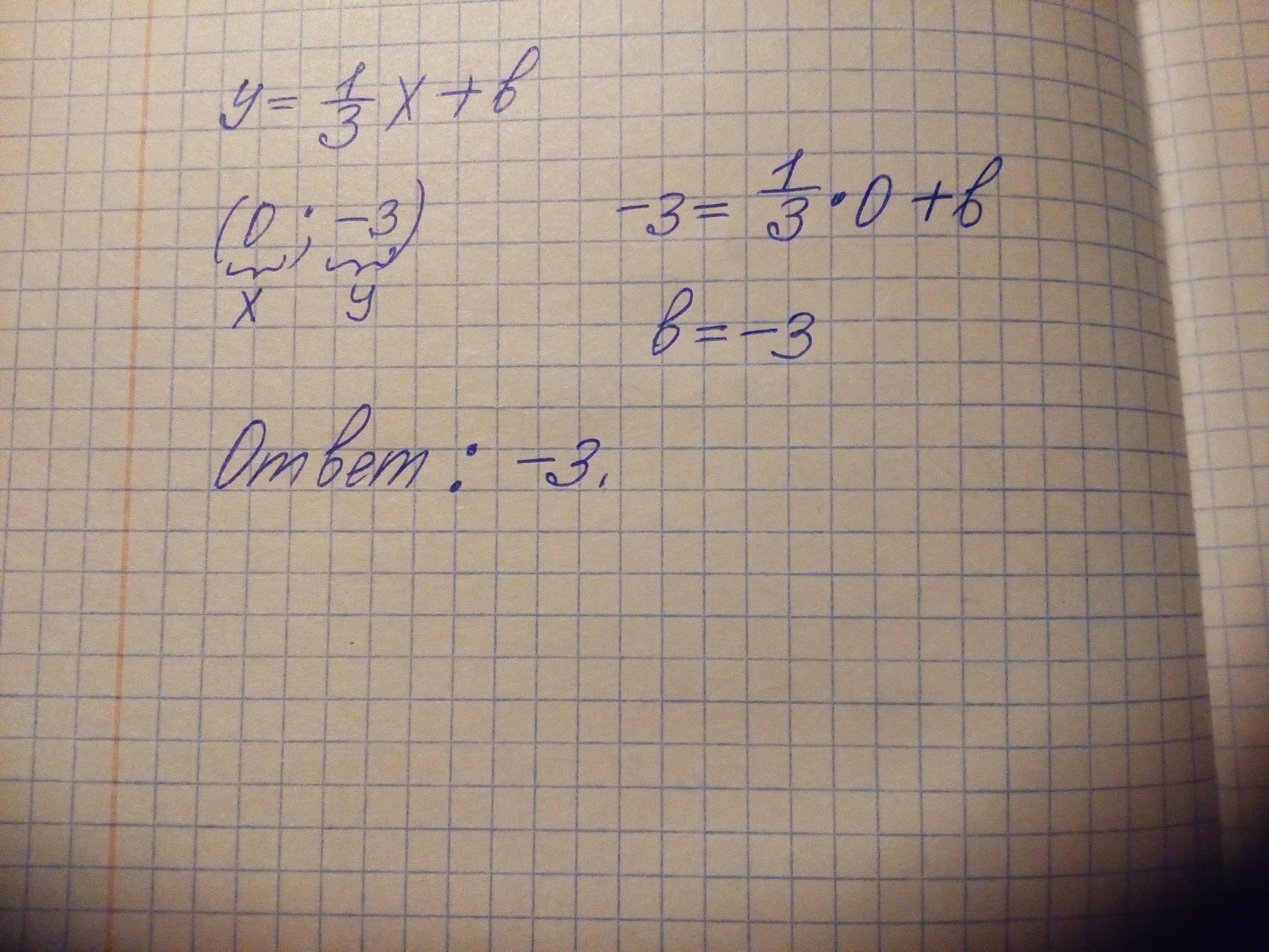
Знайдіть значення b, при якому графік функції у=1/3х+b перетинає вісь ординат у точці (0;-3)
Помогите!!!пожалуйста))))
Ответы
Ответ дал:
5
Ответ:
Объяснение:
!!!!!!!!!!!!!!!!!!!!
Приложения:

sonya2894:
Спасибо! Большое!!)
Вас заинтересует
1 год назад
1 год назад
1 год назад
3 года назад
3 года назад