Помигите плиз...
Даю все баллы
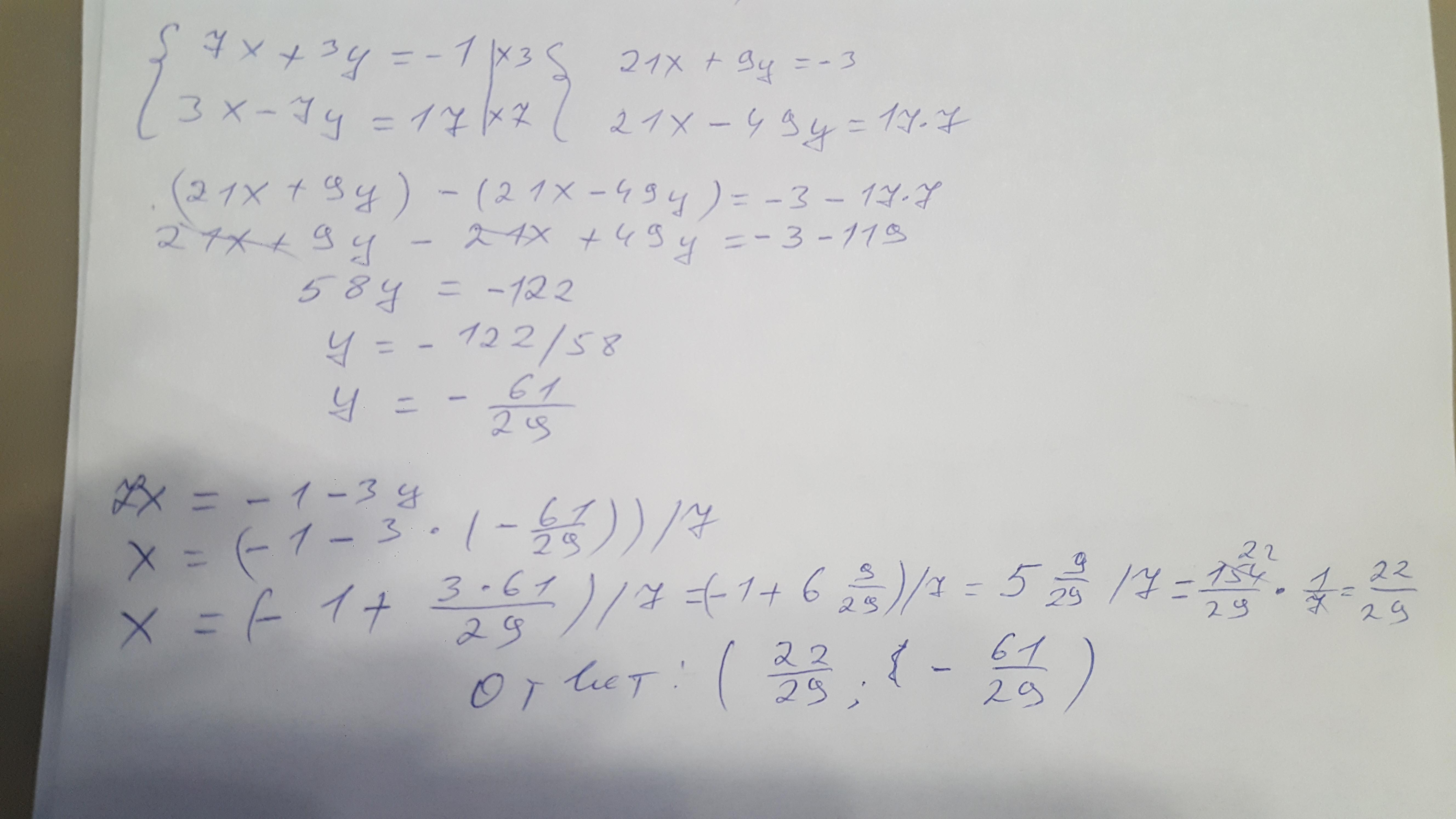
Решить систему уравнений методом сложения
7x + 3y = - 1
3x - 7y = 17
Ответы
Ответ дал:
1
Ответ:
Фото
Объяснение:
Приложения:

Вас заинтересует
1 год назад
1 год назад
1 год назад
3 года назад
3 года назад
8 лет назад