• Предмет: Алгебра
  • Автор: angeliqueg2559
  • Вопрос задан 2 года назад

Пожалуйста, помогите(((
Вычислите:​

Приложения:

Ответы

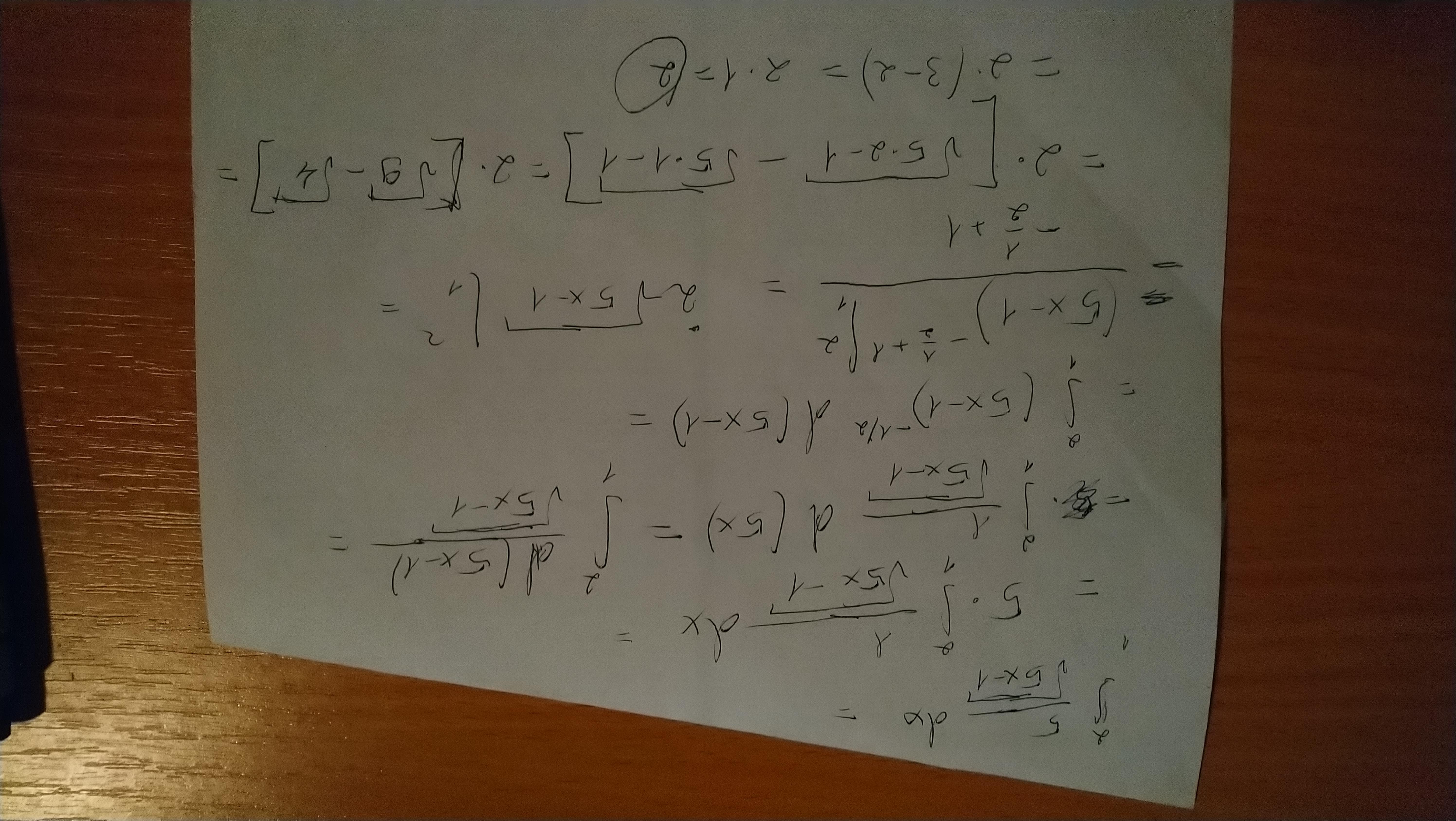
Ответ дал: xtoto
2

Ответ: 2

Решение прикреплено

Приложения:

angeliqueg2559: спасибо, большое
xtoto: пожалуйста
Вас заинтересует