• Предмет: Математика
  • Автор: oc85ypf9rc
  • Вопрос задан 2 года назад

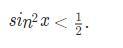
Решите неравенство. Заранее спасибо !

Приложения:

Ответы

Ответ дал: bansbsb
0
Как-то так
Надеюсь помог
Приложения:
Вас заинтересует