• Предмет: Математика
  • Автор: куракова
  • Вопрос задан 11 лет назад

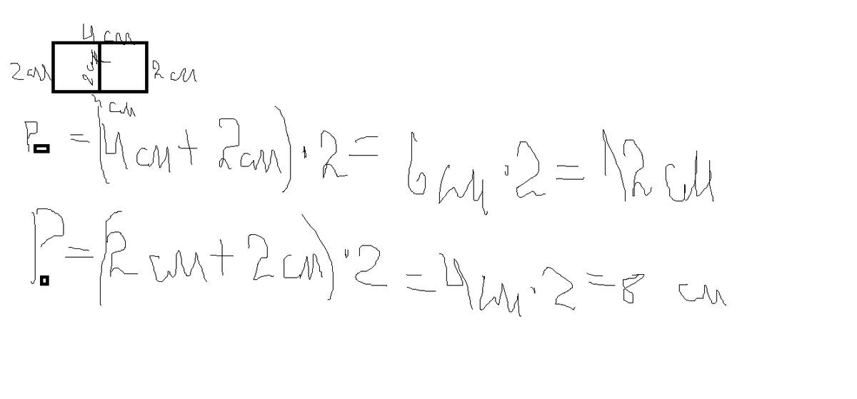
начерти прямоугольник,длина которого 4см,а ширина 2см.раздели его на 2квадрата.найди периметр каждого четырёхугольника.
 

Ответы

Ответ дал: vitacentr07
0
Смотри решение в этом файле я там всё я написала.ок?
Приложения:
Ответ дал: Sonitta
0
Ььютмбдбвбввбжвжвжсд дадчджч бвдя
Приложения:
Вас заинтересует