Ответы
Ответ дал:
3
Ответ:
Объяснение:
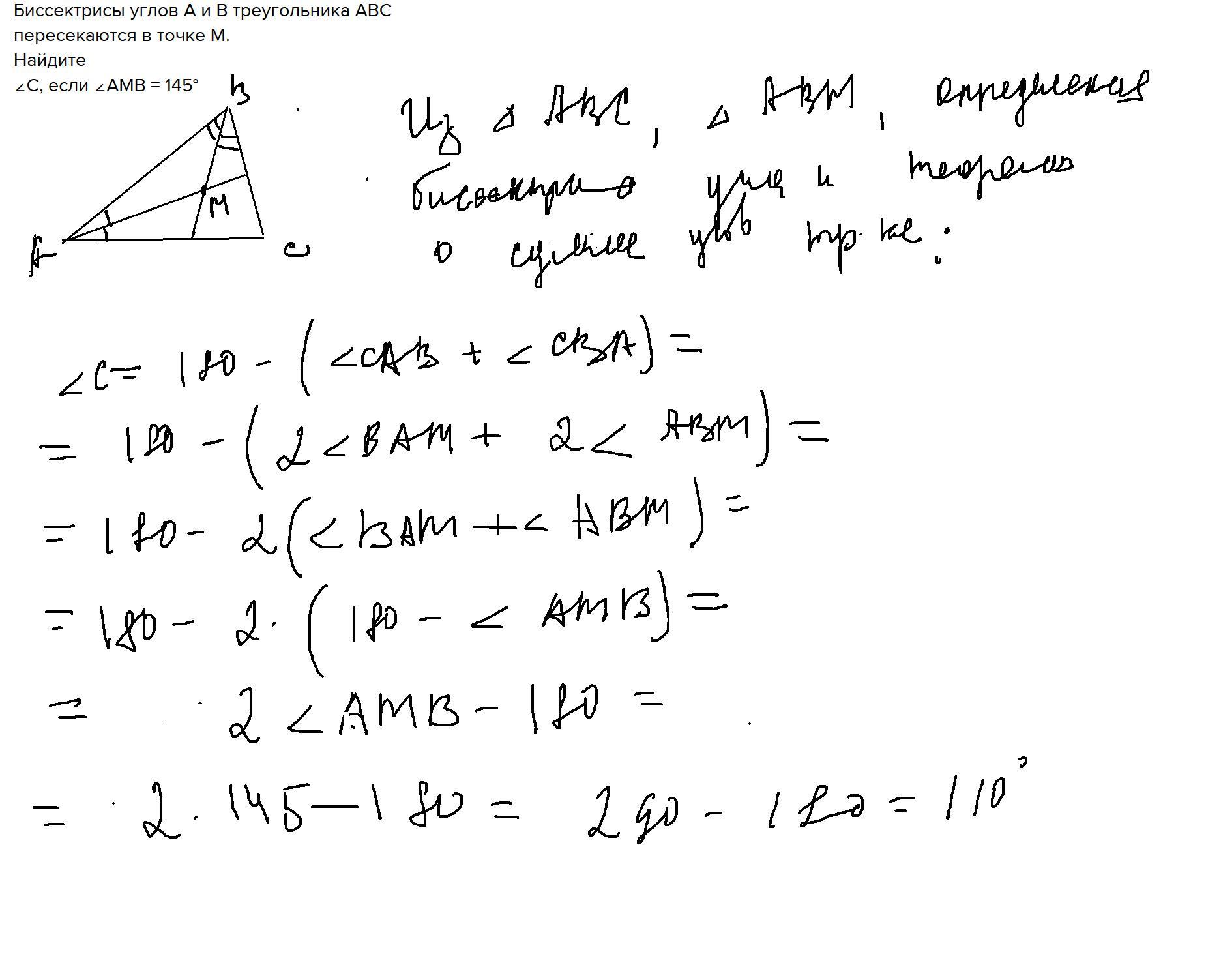
Биссектрисы углов A и B треугольника ABC пересекаются в точке M.
Найдите
Приложения:

Вас заинтересует
1 год назад
1 год назад
1 год назад
3 года назад
3 года назад
8 лет назад