• Предмет: Алгебра
  • Автор: khapmakarova1988
  • Вопрос задан 2 года назад

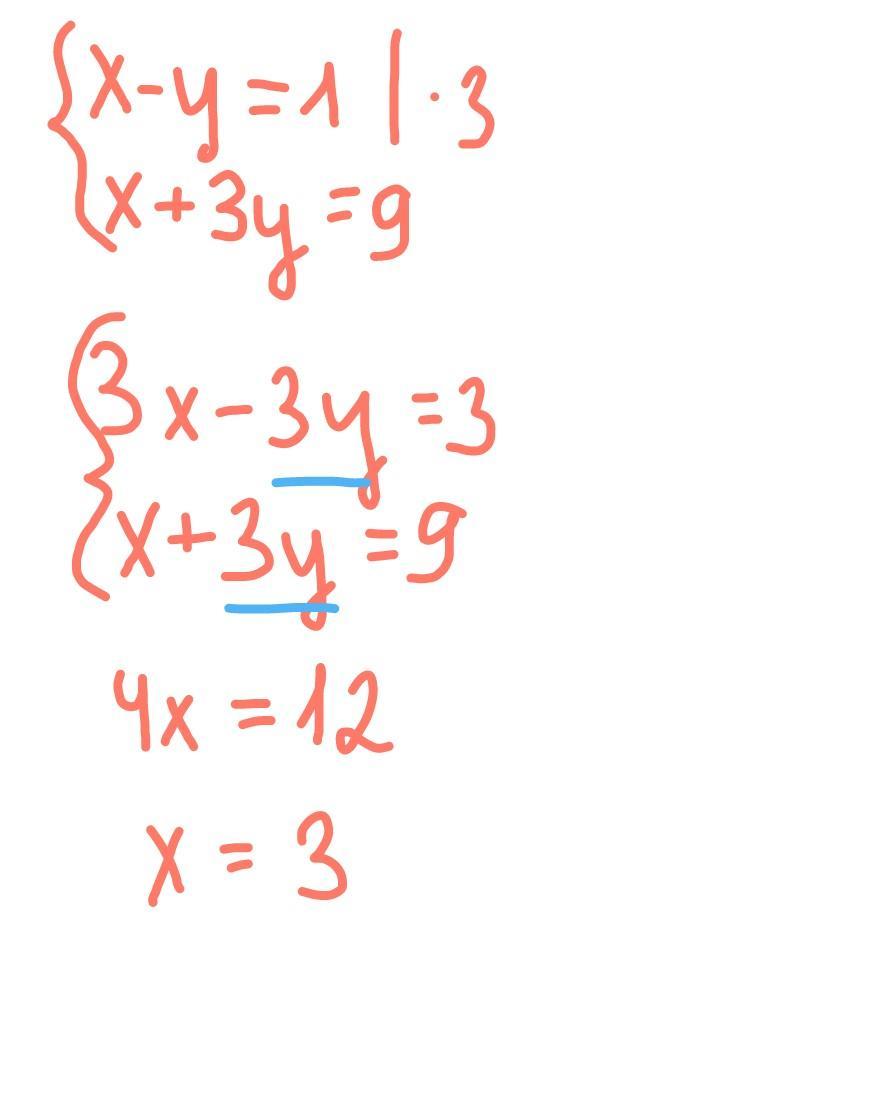
Система линейных уровнений x-y=1
x+3y=9​

Ответы

Ответ дал: passiveaggression
2

Держи. Надеюсь, что более-менее понятно :)

Приложения:
Вас заинтересует