• Предмет: Математика
  • Автор: kakanmansur78
  • Вопрос задан 2 года назад

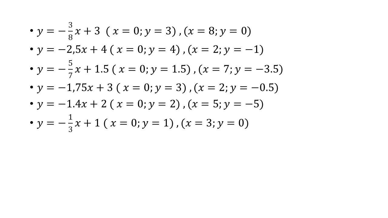
выразив переменную y через переменную х найдите два каких либо решения​

Приложения:

Ответы

Ответ дал: afet74
0

Ответ:

Пошаговое объяснение:

Приложения:
Вас заинтересует