• Предмет: Геометрия
  • Автор: pchelintcev14
  • Вопрос задан 2 года назад

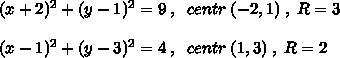
Помогите плиз. Вот вопрос: выполнив построение выясните взаимное расположение двух окружностей заданных уравнениями (x+2)^2+(y-1)^2=9 и (x-1)^2+(y-3)^2=4

Ответы

Ответ дал: rip4kplay228
0

Ответ:

.............................................................

Объяснение:

Приложения:
Вас заинтересует