Помогите решить уравнение, пожалуйста, очень надо!

LFP:
прологарифмировать обе части равенства по основанию 3))
Ответы
Ответ дал:
1
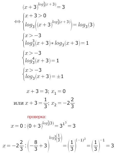
Ответ: {0; -2²/₃}
Объяснение:
можно прологарифмировать обе части равенства по основанию 3
можно, т.к. обе части равенства строго положительны
(это свойство показательной функции))
далее пользуемся свойствами логарифмов...
Приложения:

Вас заинтересует
1 год назад
1 год назад
1 год назад
3 года назад
8 лет назад