• Предмет: Алгебра
  • Автор: Evgenia4836
  • Вопрос задан 2 года назад

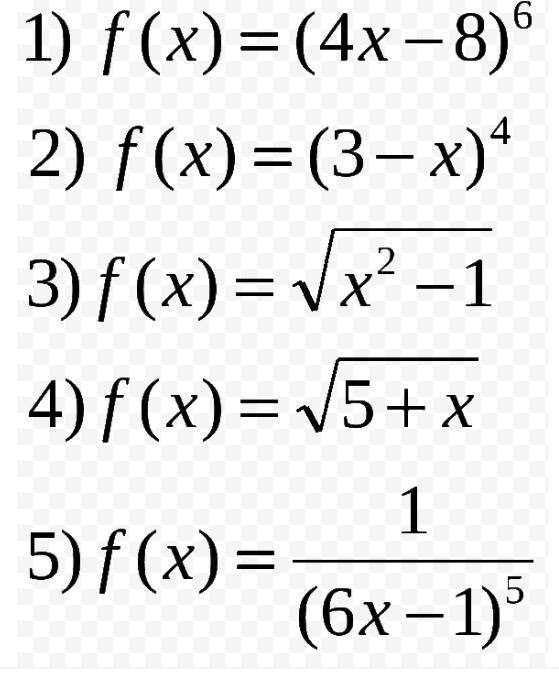
Найти производную сложной функции

Приложения:

Ответы

Ответ дал: NNNLLL54
0

1)\; \; f(x)=(4x-8)^6\; \; ,\; \; \; (u^6)'=6u^5\cdot u'\; \; ,\; \; u=4x-8\\\\f'(x)=6(4x-8)^5\cdot (4x-8)'=6(4x-8)^5\cdot 4=24\, (4x-8)^5\\\\\\2)\; \; f(x)=(3-x)^4\; \; ,\; \; (u^4)'=4u^3\cdot u'\; \; ,\; \; u=3-x\\\\f'(x)=4(3-x)^3\cdot (-1)=-4\, (3-x)^3\\\\\\3)\; \; f(x)=\sqrt{x^2-1}\; \; ,\; \; (\sqrt{u})'=\frac{1}{2\sqrt{u}} \cdot u'\; \; ,\; \; u=x^2-1\\\\f'(x)=\dfrac{1}{2\sqrt{x^2-1}}\cdot 2x=\dfrac{x}{\sqrt{x^2-1}}

4)\; \; f(x)=\sqrt{5+x}\; \; ,\; \; (\sqrt{u})'=\dfrac{1}{2\sqrt{u}}\cdot u'\; \; ,\; \; u=5+x\\\\f'(x)=\dfrac{1}{2\sqrt{5+x}}\cdot 1=\dfrac{1}{2\sqrt{5+x}}\\\\\\5)\; \; f(x)=\dfrac{1}{(6x-1)^5}=(6x-1)^{-5}\; \; ,\; \; (u^{k})'=k\cdot u^{k-1}\cdot u'\; ,\; u=6x-1\\\\f'(x)=-5\cdot (6x-1)^{-6}\cdot 6=-\dfrac{30}{(6x-1)^6}


Гpaнт: помогите пожалкйста 100 баллов. плз
Evgenia4836: в первом степень забыли в ответе, исправьте
NNNLLL54: исправила, спасибо
Вас заинтересует