• Предмет: Алгебра
  • Автор: Аноним
  • Вопрос задан 2 года назад

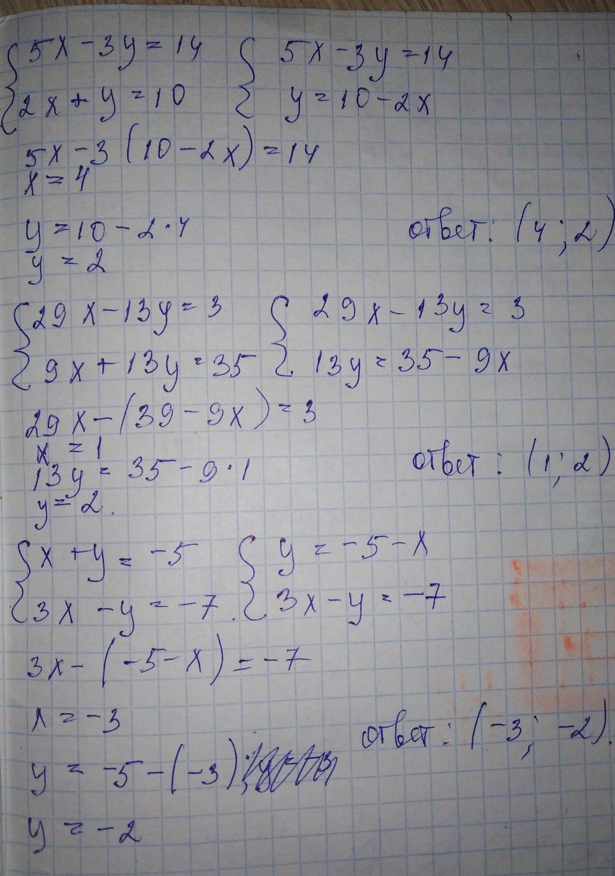
1.Решить систему методом подстановки
5Х – 3у = 14
2х +у = 10

2. Решить систему методом сложения
29х – 13у= 3
9х + 13у = 35

3.Решить графически систему уравнений
Х + у = - 5
3х – у = - 7

Ответы

Ответ дал: polinaantipova22
2

Ответ:

1) x=4

y=2

2) x=1

y=2

3) x=-3

y=-2

Приложения:
Вас заинтересует