Ответы
Ответ дал:
1
Ответ:
х = -1
у = -1
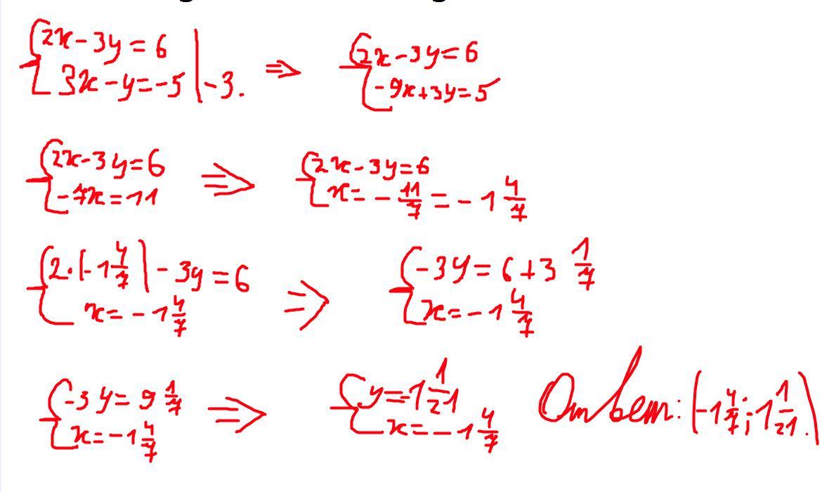
На скриншоте решение
Приложения:

Вас заинтересует
1 год назад
1 год назад
1 год назад
3 года назад
3 года назад
8 лет назад