• Предмет: Геометрия
  • Автор: AlexeyVictorovich
  • Вопрос задан 2 года назад

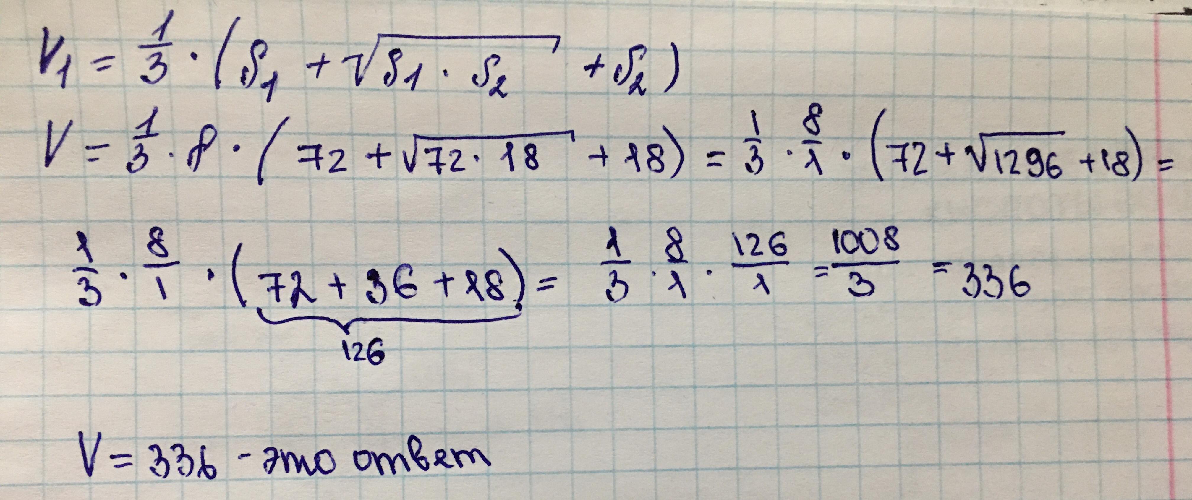
40 баллов. Площади оснований усеченной пирамиды равны 72 и 18, а высота полной пирамиды равна 8. Найти обьем усеченной пирамиды​

Ответы

Ответ дал: veronikaromanova231
0

Ответ:

336

Объем (V) усеченной пирамиды равен одной трети произведения высоты  (h = 8)  на сумму площадей верхнего основания (S₁ = 72) , нижнего основания усеченной пирамиды (S = 18) и средней пропорциональной между ними (√(S₁*S₂)).

Приложения:
Вас заинтересует