• Предмет: Математика
  • Автор: zamira1984p6y2bx
  • Вопрос задан 2 года назад

Помогите пожалуйста
Реши уравнение
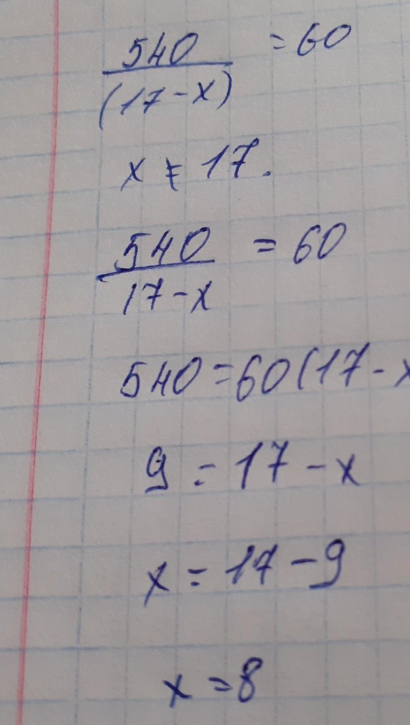
540÷(17-x)=60

Ответы

Ответ дал: veronikaturanina
1

Пошаговое объяснение:

если что то не понятно пишите

Приложения:
Вас заинтересует